PERT – Técnica de evaluación y revisión de proyectos
Project Evaluation and Review Techniques
El método PERT (Project Evaluation and Review Techniques), es un algoritmo basado en la teoría de redes diseñado para facilitar la planificación de proyectos. El resultado final de la aplicación de este algoritmo será un cronograma para el proyecto, en el cual se podrá conocer la duración total del mismo, y la clasificación de las actividades según su criticidad.
El algoritmo PERT se desarrolla mediante intervalos probabilísticos, considerando tiempos optimistas, probables y pesimistas, lo cual lo diferencia del método CPM que supone tiempos determinísticos.
Conceptos básicos para diagramar actividades con redes
Regla 1: Cada actividad se debe representar sí y sólo sí, por un ramal o arco.

Regla 2: Cada actividad debe estar identificada por dos nodos distintos. En el caso de existir actividades concurrentes (que inicien al mismo tiempo, o que el inicio de una actividad dependa de la finalización de 2 o más actividades distintas) se debe recurrir a actividades ficticias (representadas por arcos punteados que no consumen ni tiempo ni recursos) para satisfacer esta regla.
Por ejemplo, la actividad C para su inicio requiere que finalicen A y B. Las actividades A y B inician al mismo tiempo.

Fases para la planificación de un proyecto con PERT
Paso 1: Actividades del proyecto
La primera fase corresponde a identificar todas las actividades que intervienen en el proyecto, sus interrelaciones, sucesiones, reglas de precedencia. Con la inclusión de cada actividad al proyecto se debe cuestionar respecto a que actividades preceden a esta, y a cuales siguen inmediatamente esta finalice. Además, deberán relacionarse los tiempos estimados para el desarrollo de cada actividad.
A diferencia del método CPM, el método PERT asume tres estimaciones de tiempo por cada actividad, estas estimaciones son:
Tiempo optimista (a): Duración que ocurre cuando el desarrollo de la actividad transcurre de forma perfecta. En la práctica suele acudirse al tiempo récord de desarrollo de una actividad, es decir, el mínimo tiempo en que una actividad de esas características haya sido ejecutada.
Tiempo más probable (m): Duración que ocurre cuando el desarrollo de la actividad transcurre de forma normal. En la práctica suele tomarse como el tiempo más frecuente de ejecución de una actividad de iguales características.
Tiempo pesimista (b): Duración que ocurre cuando el desarrollo de la actividad transcurre de forma deficiente, o cuando se materializan los riesgos de ejecución de la actividad.

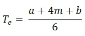
Paso 2: Calcular el tiempo estimado (Duración promedio) y la varianza
Para efectos de determinar la ruta crítica del proyecto se acude al tiempo de duración promedio, también conocido cómo tiempo estimado. Este tiempo es determinado a partir de las estimaciones como:

El cálculo del tiempo estimado deberá hacerse entonces para cada actividad. Por ejemplo para la actividad A:

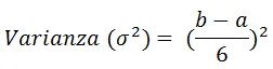
Además de calcular el tiempo estimado, deberá calcularse la varianza de cada actividad. El cálculo de esta medida de dispersión se utiliza para determinar la incertidumbre de que se termine el proyecto de acuerdo al programa. Para efectos del algoritmo PERT, el cálculo de la varianza se hará a partir de sus estimaciones tal cómo se muestra a continuación:

El cálculo de la varianza deberá hacerse entonces para cada actividad. Por ejemplo para la actividad A:

Para las actividades del tabulado mencionado en el Paso 1, los tiempos estimados y varianzas serían las siguientes:

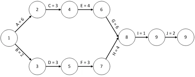
Paso 3: Diagrama de red
Con base en la información obtenida en la fase anterior y haciendo uso de los conceptos básicos para diagramar una red, obtendremos el gráfico del proyecto (los tiempos relacionados con cada actividad en el gráfico corresponden a los tiempos estimados):

Paso 4: Calcular la red
Para el cálculo de la red se consideran 3 indicadores, T1, T2 y H. Estos indicadores se calculan en cada evento o nodo (entiéndase nodo entonces como un punto en el cual se completan actividades y se inician las subsiguientes.
T1: Tiempo más temprano de realización de un evento. Para calcular este indicador deberá recorrerse la red de izquierda a derecha y considerando lo siguiente:
- T1 del primer nodo es igual a 0.
- T1 del nodo n = T1 del nodo n-1 (nodo anterior) + duración de la actividad (tiempo estimado) que finaliza en el nodo n.
- Si en un nodo finaliza más de una actividad, se toma el tiempo de la actividad con mayor valor.

En este caso para el cálculo del T1 en el nodo 8, en el que concurre la finalización de 2 actividades, deberá considerarse el mayor de los T1 resultantes:
T1 (nodo 6) + G = 13 + 6 = 19
T1 (nodo 7) + H = 8 + 4 = 12
Así entonces, el T1 del nodo 8 será igual a 19 (el mayor valor).
T2: Tiempo más tardío de realización del evento. Para calcular este indicador deberá recorrerse la red de derecha a izquierda y considerando lo siguiente:
- T2 del primer nodo (de derecha a izquierda) es igual al T1 de este.
- T2 del nodo n = T2 del nodo n-1 (nodo anterior, de derecha a izquierda) – duración de la actividad que se inicia (tiempo estimado).
- Si en un nodo finaliza más de una actividad, se toma el tiempo de la actividad con menor valor.

En este caso para el cálculo del T2 del nodo 1, en el que concurren el inicio de 2 actividades deberá entonces considerarse lo siguiente:
T2 nodo 2 – B = 6 – 6 = 0
T2 nodo 3 – C = 9 – 2 = 7
Así entonces, el T2 del nodo 1 será 0, es decir el menor valor.
H: Tiempo de holgura, es decir la diferencia entre T2 y T1. Esta holgura, dada en unidades de tiempo corresponde al valor en el que la ocurrencia de un evento puede tardarse. Los eventos en los cuales la holgura sea igual a 0 corresponden a la ruta crítica, es decir que la ocurrencia de estos eventos no puede tardarse una sola unidad de tiempo respecto al cronograma establecido, dado que en el caso en que se tardara retrasaría la finalización del proyecto.

Las actividades críticas por definición constituyen la ruta más larga que abarca el proyecto, es decir que la sumatoria de las actividades de una ruta crítica determinará la duración estimada del proyecto. Puede darse el caso en el que se encuentren más de una ruta crítica.
Ruta crítica
Esta ruta se encuentra compuesta por las actividades A, C, E, G, I, J. La duración del proyecto sería de 22 semanas.
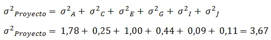
Paso 5: Cálculo de la varianza, desviación estándar y probabilidades
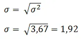
La varianza y la desviación estándar para la culminación del proyecto se relacionan con las actividades que comprenden la ruta crítica. Así entonces, para calcular la varianza basta con sumar las varianzas de las actividades A, C, E, G, I y J:

La desviación estándar corresponde a la raíz cuadrada de la varianza del proyecto, es decir:

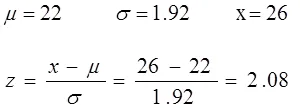
Con la información que acabamos de obtener podemos efectuar cálculos probabilísticos de terminación del proyecto. Por ejemplo, sí se nos pide hallar la probabilidad de que el proyecto se culmine antes de 26 semanas, procederíamos de la siguiente forma y siguiendo la teoría de distribución normal:

Buscando este valor en una tabla de distribución normal encontramos que equivale a 0,9812, es decir que la probabilidad de culminar el proyecto en 26 semanas o menos es del 98,12%.
Paso 6: Establecer el cronograma
Para establecer un cronograma deberán considerarse varios factores, el más importante de ellos es la relación de precedencia, y el siguiente corresponde a escalonar las actividades que componen la ruta crítica de tal manera que se complete el proyecto dentro de la duración estimada.




hola me gustaria saber si me puedes resolver un planteamiento de un problema de optimizacion
Muy didáctico y muy bien desarrollado.
Revisa sigma de 96.12 a 98.12
Gracias, me encanta tu trabajo!
Todos los caminos con holgura cero son rutas criticas?
Gracias por la explicación muy digerible.
Si en mi proyecto estoy usando historias de usuario de scrum para desglosar las actividades ¿Las historias de usuario son equivalentes a las actividades para realizar la ruta crítica?
Saludos…
Sí.
Gracias por la explicación, de gran ayuda para el examen de OTM.
saludos
Le agradezco las facilidades para realizar el análisis de este artículo. Muy ilustrativo!!